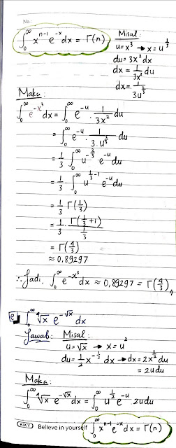
Jawaban dan Penyelesaian Latihan Soal Fungsi Gamma dan Fungsi Beta (Kalkulus Peubah Banyak)







catatan: 

Maafin ya kalau ada bagian yang ga kebaca.. kalau ada yang kurang jelas atau ada yang mau ditanya, langsung aja tanya di kolom komentar ya hehe. Terima kasih sudah berkunjung :)











Komentar